Chemistry plays a significant role in our everyday life. There is hardly any aspect of life where the chemistry does not play any role. We shall study about those chemicals which are used as medicines, dyes, cosmetics, food preservations, synthetic detergents, insect repellants, rocket propellants, etc.
Chemicals in medicine and health care: The substances used for the treatment of diseases, for alleviating pain and controlling fever are called medicines or chemotherapeutic drugs. The branch of chemistry which deals with the treatment of diseases using suitable chemicals is known as Chemotherapy. There are large number of synthetic and natural drugs that chemist have given to medicine. Prominent among these are analgesics, antipyretics, antimalarials, antibiotics, sulpha drugs and anesthetics. Some of the compounds used as medicines are as follows:
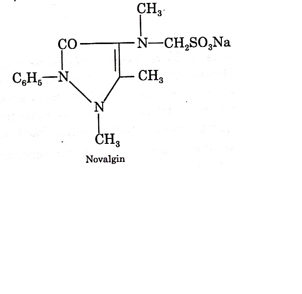
Analgesics: Drugs which relieve or decrease pain are called analgesics. Aspirin and analgin act both as antipyretics and analgesics. They give immediate relief from the pain and fever. Novalgin is the most widely used analgesic and has the following structure.

Some other analgesics are:
Butazolidine or phenyl butazone, ibuprofen, naproxen and diclofenac sodium or potassium.


In addition to the above analgesics certain narcotics like morphine, codeine, pethidine, hydrochloride, methadone, heroin, etc are also used as analgesics. These do relieve the pain but they attack the central nervous system and produce sleep and unconsciousness. Narcotics are mostly the products obtained from opium and marijuana plants.

Antiseptics: Chemical substance which prevents the growth of micro-organisms or kill them but are not harmful to the living human tissues are called antiseptics. Antiseptics are applied to the living tissues. For examples, wounds, ulcers and diseased skin surfaces. The antiseptic are generally incorporated in face powders, deodorants, breath purifiers, etc, to reduce the odours which may result from the bacterial decomposition on body or in the mouth. Some of the important compounds used as antiseptics are as follows:
- Dettol, a mixture of chloroxylenol ( also called as parachlorometaxylenol) and terpeneol, is commonly used as antiseptics for wounds, cuts, etc.
- Bithional, is added to soaps to impart them antiseptic properties. Such soap are used to reduce odour due to bacterial action on the skin surface.
- Iodine is a powerful antiseptic and is used in the form of tincture of iodine which is a solution of alcohol and water containing 2 to 3 % iodine.
- Hydrogen peroxide solution also has strong antiseptic properties and is commonly used to clear wounds.

- A number of dyes like Gentian violet and methylene blue are also used as antiseptics.
In addition to these salicylic acid, iodoform, boric acid, resorcinol and phenol are also some of the common antiseptics.
Disinfectants: Chemical substances which kill micro-organism but not safe for the contact with living tissues. Since these substances are harmful to human tissue, they are cannot be applied directly to wounds. They are used to disinfect floors, toilets etc. e.g. phenol, sulphur dioxide, etc.
Tranquillizers: These are the chemicals which are used for the treatment of stress and mental diseases. These affect the central nervous system and induce sleep. The tranquillizers are also called psycho-therapeutic drugs. This drug makes the patients passive and help to control their emotional stress. Barbituric acid and its derivatives, luminal, seconal and barbital of veronal serve as good tranquillizers.
Equanil is a good tranquillizers and used in depression and hypertension. In addition to barbiturates many other tranquillizers are known which are non hypnotic. Chlorodiazepoxide and Meprobamate are mild tranquillizers.


Notes: Some of the different terms used for the drugs which are used to cure mental diseases are:
- Sedative: These act as depressant and suppress the activities of central nervous system. They are given to patients who are mentally agitated and violent. Sedatives gives calmness and relaxations in the body. Their high doses induce sleep. For examples, valium, barbiturate
- Antidepressants: These drugs are given to the patients with shattered confidence. These produce a feeling of well being and confidents in the person with depressed mood. Therefore, these are also called mood booster drugs. The common examples are vitalin, cocain, etc.
- Hypnotics: These are also known as tranquillizers and are used to reduce mental tension and anxiety.
- Narcotics: These act as depressant and analgesic. They reduce mental tension, anxiety and pain. The common examples are opium, heroin, pethidine, etc.
- Antimicrobials: These are the chemicals used to cure infections to micro-organisms. Anti-microbials may be synthetic chemicals like p-amino salicylic acid, sulphonamides or they may be antibiotics such as penicillin, tetracycline, chloromphenicol, etc. The commonly used antimicrobials are sulphanilamide which effective in wide range of micro-organisms.

Antibiotics: Antibiotic is defined as the chemical substances produced by micro-organisms (bacteria, fungi, molds) that can inhibit the growth or even destroy other micro-organisms. It is an effective drug for pneumonia, bronchitis, sore-throat and abcesses. Other antibiotics like streptomycin and tetracycline are used against diseases caused by Gram negative bacteria (e.g. infection of the urinary tract) or infection by Gram positive bacteria which are penicillin resistant. The full range of micro-organisms attacked by an antibiotic is called its spectrum.
Broad-spectrum antibiotics are medicines effective against a large number of harmful micro-organisms e.g. tetracycline, chloramphenicol etc. On the other hand, penicillin has a narrow spectrum. Some of common examples of antibiotics are given bellow:
Penicillin: There are at least six natural penicillin isolated so far. General structures of some of them are as follows:
General structure of penicillin
Ampicillin and amoxicillin are semisynthetic modifications of penicillin. One of the biggest disadvantages with penicillin is that certain persons are sensitive to it. Therefore, it has become absolutely essential to test the patients for sensitivity to penicillin before it is administered.
- Chloramphenicol: It is a broad-spectrum antibiotic, rapidly absorbed from the gastro-intestinal tract and hence can be given orally. It is very effective against typhoid, dysentery, acute fever, certain form of urinary infections, meningitis and pneumonia.
- Streptomycin: It is highly effective against micro-organisms which cause tuberculosis. Therefore, it is widely used for the treatment of tuberculosis.
Sulpha drugs: Sulpha drugs are the derivatives of sulphanilamide. Some important medicines belongs to this class are sulphapyridine, sulphadiazine, sulphaguinidine, sulphathiazole etc. These chemicals are effective against pneumonia, tuberculosis, diphtheria etc.
Antihistamines: Antihistamines are amines which are used as drugs to control the allergy effects produced by histamines. Histamines is found naturally in nearly all body tissues. It is also released in allergic conditions such as hay fever. The release of histamine induces allergic responses in the body like inflammation, asthma, itching, skin irritation, sneezing, nasal discharge, itching of eyes, etc.
Several drugs are available to prevent the production of histamine and combat the allergy effects. These drugs are known as antihistamines. Common drugs of this class are chlorpheniramine, promethazine, diphenylhydramine.
Antacids: One of the most common ailments associated with digestion is acid gastritis. It is caused by the excess hydrochloric acid in the gastric juice. Substances which remove the excess acid in the stomach and raise the pH to appropriate level are called antacids.
In order to treat hyper acidity calcium carbonate, sodium bicarbonate, magnesium hydroxide, aluminium hydroxide etc .are used in the form of tablets or aqueous suspensions. These substances react with excess hydrochloric acid present in the stomach and neutralize it partially. In recent years, omeprazole and lansoprazole are used as antacids. These medicines prevent formation of acid in stomach.
Antifertility drugs: These are the chemical substances used to control the pregnancy and are also known as oral contraceptives. The antifertility drugs are mostly steroid hormones and are available for the females only. Progestrogens either alone or in combination with oestrogens steroids are commonly used as antifertility drugs.
Common progestogens are ethyodial, norgestrel, etc.
Common oestrogens are mestranol, ethylestradiol, etc. Recently an antifertility drug known as ormeloxifene has been developed. (These are called pills).
Chemicals in Food: Fruits and vegetables constitute an important part of our food. In order to prevent their fermentation and decomposition, some chemicals are added to them. All those chemicals which are added to food to improve its shelf-life, taste, odour and appearance are called food additives. Some food additives are:
Preservatives: Chemicals which are capable of inhibiting or arresting the process of fermentation acidification or any other decomposition of food are called preservatives. Preservatives protect the food against bacteria, yeasts and moulds. Two chemical preservatives which are permitted for use are:
- Benzoic acid( or sodium benzoate)
- Sulphur dioxide (or potassium metabisulphite).
Benzoic acid or its salt is commonly used for the preservation of food materials. For the preservation of fruits, fruit juices and jams sodium benzoates is used as a preservative because it is soluble in water and hence easily mixed with food products.
Potassium metabisulphite or potassium metasulphite is used for the preservation of colourless food materials such as a fruit juices, squashes, apples, lichies and raw mango chutney.These are not used for the preservation of coloured food materials because sulphur oxide produced from these chemicals is a bleaching agent. These preservatives on reaction with acid of the juice liberate SO2 which is very effective in killing the harmful micro-organisms present in the food and thus prevents it from getting spoiled.
Antioxidants:
Antioxidant is that organic compound which is added to fats, oils, gasoline, lubricating oil etc. to retard oxidation, gum formation, rancidity, etc., e.g. citric acid, phosphoric acids are commonly used as antioxidants for food products.
The common antioxidants are butylated p-hydroxyanisole (BHA) or butylated p-hydroxytoluene (BHT), or several esters of gallic acid such as propyl gallate.
Artificial sweetening agents:
These are the chemical compounds which give sweetening effect to the food and enhance its odour and flavour. Saccharin is widely used as a sweetening agent, although it has no caloric value. Increasing research has produced more non-caloric sweetening agents such as dulcin (4-ethoxyphenyl urea), aspartame, calcium cyclamate etc.
Detergents:
The word ‘detergent’ means cleansing agent and so the detergents are substances which remove dirt and have cleansing action in water. There are two types of detergents:
- Soapy detergents or soaps.
- Non-soapy detergents or soapless soaps.
Soap: A soap is a sodium or potassium salt of some long chain carboxylic acids (fatty acid). Sodium salts of fatty acids are hard soaps and potassium salts of fatty acids are know as soft soaps. Hard soaps are prepared from cheap oils and fats and sodium hydroxide. They contain free alkali and are used for washing purposes. Soft soaps are prepared from good oils and potassium hydroxide. They do not contain free alkali, produce more lather and are used as toilet soaps, shaving creams and shampoos.
A soap has a long non-ionic hydrocarbon group and an ionic COO–Na+ group. So for simplicity the structure of soap can be represented as:
,
Where represents the hydrocarbon group and COO–Na+ represents negatively charged carboxyl group. Some examples of soaps are: sodium stearate, C17H35COO–Na+, sodium palmitate, C15H31COO–Na+ and sodium oleate, C17H33COO–Na+.
Preparation of soap: Soap is prepared by heating fats (animals and vegetable) with conc. sodium hydroxide. Since the salts of fatty acids thus formed are used as soap, therefore, alkaline hydrolysis of oils and fats is commonly known as saponification.
Non-soapy detergents:
These are called synthetic detergents or syndets or simply detergents. A synthetic detergent is the sodium salts of a long chain benzene sulphonic acid or sodium salts of long chain alkyl hydrogen sulphate.
Like soap they also contain an ionic group such as sulphonate group, SO3–Na+ or sulphate group OSO3–Na+ and long chain hydrocarbon which is non-ionic group.
Preparation of synthetic detergents: It is prepared by the reaction between hydrocarbon from petroleum with conc. sulphuric acid and converting the product into its sodium salts. e.g. synthetic detergents are sodium p-dodecyl benzenesulphonate and sodium lauryl sulphate.
The detergents given above are anionic detergents because large parts of molecules of such detergents are anion.
Cationic surface active detergents are those which have cationic hydrophilic group. e.g. antibacterial benzalkonium chloride (N-benzyl quarternary ammonium chloride).
N.B. Synthetic detergents are widely used as: It can be used in hard water, in acidic medium, have stronger cleansing action than soap, more soluble than soap, etc.
Rocket propellants:
A number of satellites have been launched by different countries. India launched its first satellite launch vehicle SLV-3 from sriharikota. It consists of rocket engines that are powered with chemicals called propellants. The propellant consists of a fuel and oxidizer. When the propellant is ignited the combustion of fuel occurs with the release of gases which are passed through the nozzle of the rocket motor. This provides the necessary thrust for the rocket uplift.
Characteristics of a rocket propellant:
A rocket propellant must be possess the following characteristics;
1) It should produce a large volume of gases for every gram of fuel burnt.
2) It should burn at very fast rate.
3) It should burn completely leaving behind no dead weight of residue or ash.
4) The calorific value of the fuel should be high so that it produces large amount of heat per gram of the fuel.
Type of rocket propellants: Depending on the physical state. Propellants can be classified into three different types, namely
- solid propellants
- liquid propellants
- hybrid propellants
1) Solid propellant: They involve the use of solid fuel and solid oxidizer. They are further divided into two categories.
(a) Composite propellants: These are consists of polymeric binder, like polyurethane or polybutadiene, which is used as a fuel and ammonium perchlorate is used as an oxidizer. The performance of the propellants can be increase by using additives like Al or Mg in the finely divided form with the fuel.
(b) Double base propellants: Here mainly used nitroglycerine and nitro cellulose. In fact nitroglycerine (liquid) and nitrocellulose (solid) constitute a gel which is semisolid mass, one of the disadvantage of solid propellants is that on ignition the solid propellants burn without having a start or stopping capability.
2) Liquid propellants: These are comprises a fuel such as kerosene, alcohol, hydrazine or liquid hydrogen mixed with an oxidizer such as liquid oxygen, dinitrogen tetraoxide, or nitric acid. The liquid propellant which consists of two liquids are called biliquid propellants. On the other hand, the propellants involving only one liquid are called monopropellants. The common liquid propellants are unsymmetrical dimethylhydrazine (UDMH) and monomethylhydrazine (MMH).
3) Hybrid propellants:
These consist of a solid fuel and a liquid oxidizer. For examples, a mixture of acrylic rubber and liquid nitrogen tetraoxide.

