Proteins are high molecular mass complex biomolecules of amino acids present all living cells. The chief sources of proteins are milk, cheese, pulses, peanuts, fish, meat, etc. The important proteins required for our body are enzymes, hormones, antibodies, transport proteins, structural proteins, contractile proteins, etc. Structurally, proteins are long polymers of amino acids linked by peptide (─CO—NH—) bonds. Protein can also be classified on the basis of hydrolysis products as—Simple proteins, Conjugated proteins and Derived proteins.Simple proteins are which give amino acids only on hydrolysis with acids or enzymes. e.g. albumins, globulins, prolamines, keratin, etc.Conjugated proteins are which on hydrolysis give a non-protein part and α-amino acids. Thus, these are formed by the combination of simple proteins with some non-proteinous substance. The non-proteins part is called prosthetic group and it controls the biological functions of the protein.
Derived proteins are the products of partial hydrolysis of simple or conjugated proteins. e.g. proteoses, peptones, peptides etc.
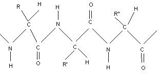
Structure of proteins:- Proteins are obtained from amino acids. A protein molecule contains 50 to several thousand amino acid molecules joined by peptide bonds. The structures of proteins are as follows—
Primary structure of proteins:- The sequence in which the amino acids are linked in one or more polypeptide chains of a protein is called the primary structure of protein.
Each protein has a specific sequence of amino acid units which is critical of its biological activity. The change of just one amino acid in the sequence can alter the biological activity.
Secondary structure of proteins: Secondary structure of the proteins refers to the arrangement of polypeptide chains which arises as a result of hydrogen bonding. There are two common types of structure viz α-Helix structure & β-pleated sheet structure.
Tertiary structure: The tertiary structure arises due to folding, coiling and bending of polypeptide chains producing three dimensional structures. This structure gives the overall shape of proteins.
Quaternary Structure: The quaternary structure refers to the determination of the number of sub units and their arrangement in an aggregate protein molecule. The best known example of a protein possessing quaternary structure is haemoglobin. It is an aggregate of four polypeptide chains or sub units, two identical alpha chains (each containing 141 amino acid residues) and two identical beta chains (each containing 146 amino acid residues). These four sub units lie more or less at the vertices of a regular tetrahedron.